Mandler 35mm f/2 revives classic Leica lens and offers 138g metal body at low price

The Leica Summicron-M 35 mm f/2 Type 4, also known as the "King of Bokeh", still sells for well over $1,000 used, and in good condition some dealers ask more than $2,000 for the lens that was manufactured by Leica between 1979 and 1996.
The lens designed by Leica optical engineer Walter Mandler still has a following because of the unusual look it produces. A Chinese company has now copied the lens, and from the housing design to the optical structure this new version appears to be very close to the original, except that the replica is offered at a much lower price. Despite the lower price, the housing is made of aluminum. The lens is only about 1.3 inches long and weighs 4.9 oz, and a brass version is also offered that weighs 7.4 oz.
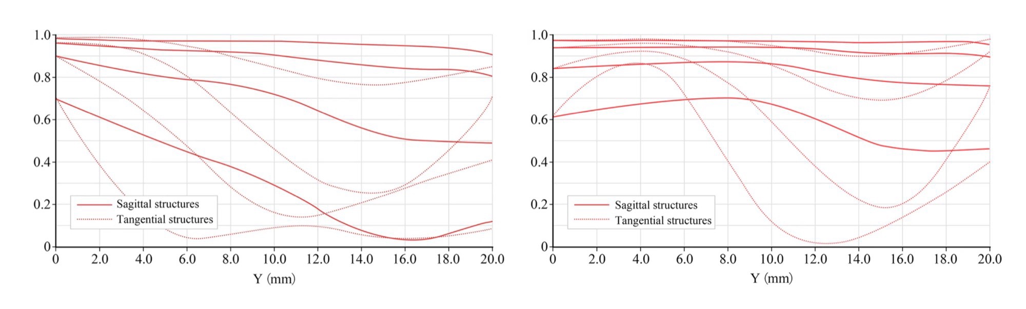
The design of seven elements in five groups has been slightly updated to deliver better image quality when paired with digital sensors. However, as the manufacturer’s MTF curves show, the lens, like the original, has pronounced field curvature, so the image center and the corners are rendered sharper than the area in between. Even in the center, the lens is not especially sharp when used wide open.
Price and availability
The Mandler 35 mm f/2.0 "7 Elements" full-frame lens is available now from the manufacturer’s online store, either with a Leica M mount for $348 or with an LTM screw mount for $378. The silver version costs an extra $30, and accessory bundles that include a lens hood are also available for an additional charge. The Leica M version is currently sold out but is expected to be available again in March. Shipping from China is free, but the prices do not include potential import fees.


















